一直想做一个比较完整、比较完美的总结。但是左思右想,不知道如何下笔。都说万事开头难嘛,今天整理了一下凌乱的思路,哎,还是没整理好,想到哪就说到哪吧。

初学者很不理解:

  • 1、什么是三层?
  • 2、为什么使用三层?
  • 3、三层与以往使用的两层相比有什么不同?它的优势在哪里?
  • 4、如何学好三层?如何应用三层? ……

这篇博客里我会给大家一一解释一下,略懂皮毛忘大家见谅!!!

米老师一直强调:让学习和生活结合,把学习和生活联系,这样的学习才叫会学习,会生活。

对于三层我左思右想,如何与实际相联系。好嘛,昨晚突然有了"灵感"。还记得大话设计模式里第章大鸟和小菜吃羊肉串的故事——由在小摊吃到饭店吃引来的一个命令模式(当然今天不是研究命令模式)。服务员、厨师、采购员。

这不就是个典型的三层架构吗???(⊙ o ⊙ )啊!哈哈(这个后面再做解释)

先了解:


1,什么是三层?

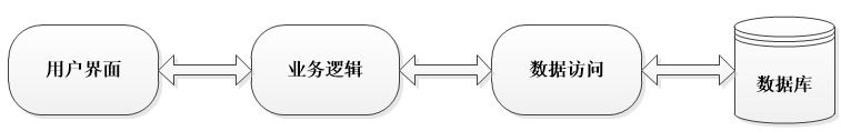
UI(表现层): 主要是指与用户交互的界面。用于接收用户输入的数据和显示处理后用户需要的数据。

BLL:(业务逻辑层): UI层和DAL层之间的桥梁。实现业务逻辑。业务逻辑具体包含:验证、计算、业务规则等等。

DAL:(数据访问层): 与数据库打交道。主要实现对数据的增、删、改、查。将存储在数据库中的数据提交给业务层,同时将业务层处理的数据保存到数据库。(当然这些操作都是基于UI层的。用户的需求反映给界面(UI),UI反映给BLL,BLL反映给DAL,DAL进行数据的操作,操作后再一一返回,直到将用户所需数据反馈给用户)

每一层都各负其责,那么该如何将三层联系起来呢?

1、单项引用(见下图)

2、这时候实体层(Entity)来了。(注:当然,实体层的作用不止这些)

Entity(实体层):它不属于三层中的任何一层,但是它是必不可少的一层。

Entity在三层架构中的作用:

  • 1、实现面向对象思想中的"封装";
  • 2、贯穿于三层,在三层之间传递数据;(注:确切的说实体层贯穿于三层之间,来连接三层)
  • 3、对于初学者来说,可以这样理解:每张数据表对应一个实体,即每个数据表中的字段对应实体中的属性(注:当然,事实上不是这样。为什么?1>,可能我们需要的实体在数据表对应的实体中并不存在;2>,我们完全可以将所有数据表中的所有字段都放在一个实体里)
  • 4、每一层(UI—>BLL—>DAL)之间的数据传递(单向)是靠变量或实体作为参数来传递的,这样就构造了三层之间的联系,完成了功能的实现。

但是对于大量的数据来说,用变量做参数有些复杂,因为参数量太多,容易搞混。比如:我要把员工信息传递到下层,信息包括:员工号、姓名、年龄、性别、工资....用变量做参数的话,那么我们的方法中的参数就会很多,极有可能在使用时,将参数匹配搞混。这时候,如果用实体做参数,就会很方便,不用考虑参数匹配的问题,用到实体中哪个属性拿来直接用就可以,很方便。这样做也提高了效率。

注:这里为什么说可以暂时理解为每个数据表对应一个实体??答:大家都知道,我们做系统的目的,是为用户提供服务,用户可不关心你的系统后台是怎么工作的,用户只关心软件是不是好用,界面是不是符合自己心意。用户在界面上轻松的增、删、改、查,那么数据库中也要有相应的增、删、改、查,而增删改查具体操作对象就是数据库中的数据,说白了就是表中的字段。所以,将每个数据表作为一个实体类,实体类封装的属性对应到表中的字段,这样的话,实体在贯穿于三层之间时,就可以实现增删改查数据了)

综上所述:三层及实体层之间的依赖关系:

思想来源于生活:

服务员:只管接待客人;

厨师:只管做客人点的菜;

采购员:只管按客人点菜的要求采购食材;

他们各负其职,服务员不用了解厨师如何做菜,不用了解采购员如何采购食材;厨师不用知道服务员接待了哪位客人,不用知道采购员如何采购食材;同样,采购员不用知道服务员接待了哪位客人,不用知道厨师如何做菜。

他们三者是如何联系的?

比如:厨师会做:炒茄子、炒鸡蛋、炒面——此时构建三个方法( cookEggplant()、cookEgg()、cookNoodle())

顾客直接和服务员打交道,顾客和服务员(UI层)说:我要一个炒茄子,而服务员不负责炒茄子,她就把请求往上递交,传递给厨师(BLL层),厨师需要茄子,就把请求往上递交,传递给采购员(DAL层),采购员从仓库里取来茄子传回给厨师,厨师响应cookEggplant()方法,做好炒茄子后,又传回给服务员,服务员把茄子呈现给顾客。

这样就完成了一个完整的操作。

在此过程中,茄子作为参数在三层中传递,如果顾客点炒鸡蛋,则鸡蛋作为参数(这是变量做参数)。如果,用户增加需求,我们还得在方法中添加参数,一个方法添加一个,一个方法设计到三层;何况实际中并不止设计到一个方法的更改。所以,为了解决这个问题,我们可以把茄子、鸡蛋、面条作为属性定义到顾客实体中,一旦顾客增加了炒鸡蛋需求,直接把鸡蛋属性拿出来用即可,不用再去考虑去每层的方法中添加参数了,更不用考虑参数的匹配问题。

这样讲,不知道大家是不是可以明白。(待会实例解释吧)


2,为什么使用三层?

使用三层架构的目的:解耦!!!

同样拿上面饭店的例子来讲:

(1)服务员(UI层)请假——另找服务员;厨师(BLL层)辞职——招聘另一个厨师;采购员(DAL)辞职——招聘另一个采购员; (2)顾客反映:

  • 1、你们店服务态度不好——服务员的问题。开除服务员;
  • 2、你们店菜里有虫子——厨师的问题。换厨师;

任何一层发生变化都不会影响到另外一层!!!


3、与两层的区别??

两层:

(当任何一个地方发生变化时,都需要重新开发整个系统。"多层"放在一层,分工不明确耦合度高——难以适应需求变化,可维护性低、可扩展性低)

三层:

(发生在哪一层的变化,只需更改该层,不需要更改整个系统。层次清晰,分工明确,每层之间耦合度低——提高了效率,适应需求变化,可维护性高,可扩展性高)

综上,三层架构的优势:

  • 1,结构清晰、耦合度低
  • 2,可维护性高,可扩展性高
  • 3,利于开发任务同步进行, 容易适应需求变化

三层架构的优劣势:

  • 1、降低了系统的性能。这是不言而喻的。如果不采用分层式结构,很多业务可以直接造访数据库,以此获取相应的数据,如今却必须通过中间层来完成。
  • 2、有时会导致级联的修改。这种修改尤其体现在自上而下的方向。如果在表示层中需要增加一个功能,为保证其设计符合分层式结构,可能需要在相应的业务逻辑层和数据访问层中都增加相应的代码
  • 3、增加了代码量,增加了工作量

4,三层的具体表现形式??

UI:

(大家不要误会,UI层不只是一个个用户界面,也是需要有代码的)

(1,功能:用户输入数据、反馈给用户数据;2,大家观察代码:没有涉及到业务逻辑,直接传参、函数、方法调用,没有涉及到与数据库打交道的SQL语句和ADO.net)

BLL:

(1,BLL是表示层与数据访问层之间的桥梁,负责数据处理、传递;2,大家观察代码,没有涉及到界面上的控件,没有涉及到SQL语句和ADO.net)

DAL:

(1,以上是DAL层中DbUtil类、user_DA类和workRecord_DA类中的代码;2,大家观察代码,没有涉及到界面控件,没有涉及到业务逻辑;只有与数据库打交道的SQL语句和ADO.net)

Entity(Model)层:

(定义了实体类user)

观察以上三层:

  • 1、实体类user作为参数贯穿于三层之间;
  • 2、通过传参、方法调用来实现功能;
  • 3、各层之间各负其责;互不影响

对比两层结构,让大家深刻体会三层的极大好处:

还是以机房收费系统的登陆为例:

(观察上面的两层的代码:将业务逻辑、数据访问都展现在用户表现层,当需求需要改变时,需要改变整个系统。比如,我把文本框txtPassWord的名称改为txtPwd的话,大家观察一下得需要更改多少地方。这样的改动算是小的,如果真的有业务需求上的改动才叫麻烦复杂,程序员不跳楼才怪。呵呵、、开个玩笑)

原文地址:https://blog.csdn.net/hanxuemin12345/article/details/8544957/