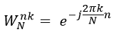
FFT(Fast Fourier Transform),快速傅立叶变换,是一种 DFT(离散傅里叶变换)的高效算法。在以时频变换分析为基础的数字处理方法中,有着不可替代的作用。
FFT 原理
公式推导
DFT 的运算公式为:

其中,

将离散傅里叶变换公式拆分成奇偶项,则前 N/2 个点可以表示为:

同理,后 N/2 个点可以表示为:

由此可知,后 N/2 个点的值完全可以通过计算前 N/2 个点时的中间过程值确定。对 A[k] 与 B[k] 继续进行奇偶分解,直至变成 2 点的 DFT,这样就可以避免很多的重复计算,实现了快速离散傅里叶变换(FFT)的过程。
算法结构
8 点 FFT 计算的结构示意图如下。
由图可知,只需要简单的计算几次乘法和加法,便可完成离散傅里叶变换过程,而不是对每个数据进行繁琐的相乘和累加。

重要特性
(1) 级的概念
每分割一次,称为一级运算。
设 FFT 运算点数为 N,共有 M 级运算,则它们满足:

每一级运算的标识为 m = 0, 1, 2, ..., M-1。
为了便于分割计算,FFT 点数 N 的取值经常为 2 的整数次幂。
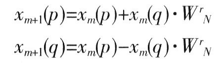
(2) 蝶形单元
FFT 计算结构由若干个蝶形运算单元组成,每个运算单元示意图如下:

蝶形单元的输入输出满足:

其中, 
每一个蝶形单元运算时,进行了一次乘法和两次加法。
每一级中,均有 N/2 个蝶形单元。
故完成一次 FFT 所需要的乘法次数和加法次数分别为:

(3) 组的概念
每一级 N/2 个蝶形单元可分为若干组,每一组有着相同的结构与
因子分布。
例如 m=0 时,可以分为 N/2=4 组。
m=1 时,可以分为 N/4=2 组。
m=M-1 时,此时只能分为 1 组。
(4)
因子分布
因子存在于 m 级,其中
。
在 8 点 FFT 第二级运算中,即 m=1 ,蝶形运算因子可以化简为:

(5) 码位倒置
对于 N=8 点的 FFT 计算,X(0) ~ X(7) 位置对应的 2 进制码为:
X(000), X(001), X(010), X(011), X(100), X(101), X(110), X(111)
将其位置的 2 进制码进行翻转:
X(000), X(100), X(010), X(110), X(001), X(101), X(011), X(111)
此时位置对应的 10 进制为:
X(0), X(4), X(2), X(6), X(1), X(5), X(3), X(7)
恰好对应 FFT 第一级输入数据的顺序。
该特性有利于 FFT 的编程实现。
FFT 设计
设计说明
为了利用仿真简单的说明 FFT 的变换过程,数据点数取较小的值 8。
如果数据是串行输入,需要先进行缓存,所以设计时数据输入方式为并行。
数据输入分为实部和虚部共 2 部分,所以计算结果也分为实部和虚部。
设计采用流水结构,暂不考虑资源消耗的问题。
为了使设计结构更加简单,这里做一步妥协,乘法计算直接使用乘号。如果 FFT 设计应用于实际,一定要将乘法结构换成可以流水的乘法器,或使用官方提供的效率较高的乘法器 IP。
蝶形单元设计
蝶形单元为定点运算,需要对旋转因子进行定点量化。
借助 matlab 将旋转因子扩大 8192 倍(左移 13 位),可参考附录。
为了防止蝶形运算中的乘法和加法导致位宽逐级增大,每一级运算完成后,要对输出数据进行固定位宽的截位,也可去掉旋转因子倍数增大而带来的影响。 代码如下:
实例
/**************** butter unit *************************
Xm(p) ------------------------> Xm+1(p)
- ->
- -
-
- -
- ->
Xm(q) ------------------------> Xm+1(q)
Wn -1
*//////////////////////////////////////////////////////
module butterfly
(
input clk,
input rstn,
input en,
input signed [23:0] xp_real, // Xm(p)
input signed [23:0] xp_imag,
input signed [23:0] xq_real, // Xm(q)
input signed [23:0] xq_imag,
input signed [15:0] factor_real, // Wnr
input signed [15:0] factor_imag,
output valid,
output signed [23:0] yp_real, //Xm+1(p)
output signed [23:0] yp_imag,
output signed [23:0] yq_real, //Xm+1(q)
output signed [23:0] yq_imag);
reg [4:0] en_r ;
always @(posedge clk or negedge rstn) begin
if (!rstn) begin
en_r <= 'b0 ;
end
else begin
en_r <= {en_r[3:0], en} ;
end
end
//=====================================================//
//(1.0) Xm(q) mutiply and Xm(p) delay
reg signed [39:0] xq_wnr_real0;
reg signed [39:0] xq_wnr_real1;
reg signed [39:0] xq_wnr_imag0;
reg signed [39:0] xq_wnr_imag1;
reg signed [39:0] xp_real_d;
reg signed [39:0] xp_imag_d;
always @(posedge clk or negedge rstn) begin
if (!rstn) begin
xp_real_d <= 'b0;
xp_imag_d <= 'b0;
xq_wnr_real0 <= 'b0;
xq_wnr_real1 <= 'b0;
xq_wnr_imag0 <= 'b0;
xq_wnr_imag1 <= 'b0;
end
else if (en) begin
xq_wnr_real0 <= xq_real * factor_real;
xq_wnr_real1 <= xq_imag * factor_imag;
xq_wnr_imag0 <= xq_real * factor_imag;
xq_wnr_imag1 <= xq_imag * factor_real;
//expanding 8192 times as Wnr
xp_real_d <= {{4{xp_real[23]}}, xp_real[22:0], 13'b0};
xp_imag_d <= {{4{xp_imag[23]}}, xp_imag[22:0], 13'b0};
end
end
//(1.1) get Xm(q) mutiplied-results and Xm(p) delay again
reg signed [39:0] xp_real_d1;
reg signed [39:0] xp_imag_d1;
reg signed [39:0] xq_wnr_real;
reg signed [39:0] xq_wnr_imag;
always @(posedge clk or negedge rstn) begin
if (!rstn) begin
xp_real_d1 <= 'b0;
xp_imag_d1 <= 'b0;
xq_wnr_real <= 'b0 ;
xq_wnr_imag <= 'b0 ;
end
else if (en_r[0]) begin
xp_real_d1 <= xp_real_d;
xp_imag_d1 <= xp_imag_d;
//提前设置好位宽余量,防止数据溢出
xq_wnr_real <= xq_wnr_real0 - xq_wnr_real1 ;
xq_wnr_imag <= xq_wnr_imag0 + xq_wnr_imag1 ;
end
end
//======================================================//
//(2.0) butter results
reg signed [39:0] yp_real_r;
reg signed [39:0] yp_imag_r;
reg signed [39:0] yq_real_r;
reg signed [39:0] yq_imag_r;
always @(posedge clk or negedge rstn) begin
if (!rstn) begin
yp_real_r <= 'b0;
yp_imag_r <= 'b0;
yq_real_r <= 'b0;
yq_imag_r <= 'b0;
end
else if (en_r[1]) begin
yp_real_r <= xp_real_d1 + xq_wnr_real;
yp_imag_r <= xp_imag_d1 + xq_wnr_imag;
yq_real_r <= xp_real_d1 - xq_wnr_real;
yq_imag_r <= xp_imag_d1 - xq_wnr_imag;
end
end
//(3) discard the low 13bits because of Wnr
assign yp_real = {yp_real_r[39], yp_real_r[13+23:13]};
assign yp_imag = {yp_imag_r[39], yp_imag_r[13+23:13]};
assign yq_real = {yq_real_r[39], yq_real_r[13+23:13]};
assign yq_imag = {yq_imag_r[39], yq_imag_r[13+23:13]};
assign valid = en_r[2];
endmodule
顶层例化
根据 FFT 算法结构示意图,将蝶形单元例化,完成最后的 FFT 功能。
可根据每一级蝶形单元的输入输出对应关系,依次手动例化 12 次,也可利用 generate 进行例化,此时就需要非常熟悉 FFT 中"组"和"级"的特点:
-
(1) 8 点 FFT 设计,需要 3 级运算,每一级有 4 个蝶形单元,每一级的组数目分别是 4、2、1。
-
(2) 每一级的组内一个蝶形单元中两个输入端口的距离恒为
(m 为级标号,对应左移运算 1<<m),组内两个蝶形单元的第一个输入端口间的距离为 1。 -
(3) 每一级相邻组间的第一个蝶形单元的第一个输入端口的距离为
(对应左移运算 2<<m)。
例化代码如下。
其中,矩阵信号 xm_real(xm_imag)的一维、二维地址是代表级和组的标识。
在判断信号端口之间的连接关系时,使用了看似复杂的判断逻辑,而且还带有乘号,其实最终生成的电路和手动编写代码例化 12 个蝶形单元的方式是完全相同的。因为 generate 中的变量只是辅助生成实际的电路,相关值的计算判断都已经在编译时完成。这些变量更不会生成实际的电路,只是为更快速的模块例化提供了一种方法。
实例
module fft8 (
input clk,
input rstn,
input en,
input signed [23:0] x0_real,
input signed [23:0] x0_imag,
input signed [23:0] x1_real,
input signed [23:0] x1_imag,
input signed [23:0] x2_real,
input signed [23:0] x2_imag,
input signed [23:0] x3_real,
input signed [23:0] x3_imag,
input signed [23:0] x4_real,
input signed [23:0] x4_imag,
input signed [23:0] x5_real,
input signed [23:0] x5_imag,
input signed [23:0] x6_real,
input signed [23:0] x6_imag,
input signed [23:0] x7_real,
input signed [23:0] x7_imag,
output valid,
output signed [23:0] y0_real,
output signed [23:0] y0_imag,
output signed [23:0] y1_real,
output signed [23:0] y1_imag,
output signed [23:0] y2_real,
output signed [23:0] y2_imag,
output signed [23:0] y3_real,
output signed [23:0] y3_imag,
output signed [23:0] y4_real,
output signed [23:0] y4_imag,
output signed [23:0] y5_real,
output signed [23:0] y5_imag,
output signed [23:0] y6_real,
output signed [23:0] y6_imag,
output signed [23:0] y7_real,
output signed [23:0] y7_imag
);
//operating data
wire signed [23:0] xm_real [3:0] [7:0];
wire signed [23:0] xm_imag [3:0] [7:0];
wire en_connect [15:0] ;
assign en_connect[0] = en;
assign en_connect[1] = en;
assign en_connect[2] = en;
assign en_connect[3] = en;
//factor, multiplied by 0x2000
wire signed [15:0] factor_real [3:0] ;
wire signed [15:0] factor_imag [3:0];
assign factor_real[0] = 16'h2000; //1
assign factor_imag[0] = 16'h0000; //0
assign factor_real[1] = 16'h16a0; //sqrt(2)/2
assign factor_imag[1] = 16'he95f; //-sqrt(2)/2
assign factor_real[2] = 16'h0000; //0
assign factor_imag[2] = 16'he000; //-1
assign factor_real[3] = 16'he95f; //-sqrt(2)/2
assign factor_imag[3] = 16'he95f; //-sqrt(2)/2
//输入初始化,和码位有关倒置
assign xm_real[0][0] = x0_real;
assign xm_real[0][1] = x4_real;
assign xm_real[0][2] = x2_real;
assign xm_real[0][3] = x6_real;
assign xm_real[0][4] = x1_real;
assign xm_real[0][5] = x5_real;
assign xm_real[0][6] = x3_real;
assign xm_real[0][7] = x7_real;
assign xm_imag[0][0] = x0_imag;
assign xm_imag[0][1] = x4_imag;
assign xm_imag[0][2] = x2_imag;
assign xm_imag[0][3] = x6_imag;
assign xm_imag[0][4] = x1_imag;
assign xm_imag[0][5] = x5_imag;
assign xm_imag[0][6] = x3_imag;
assign xm_imag[0][7] = x7_imag;
//butter instantiaiton
//integer index[11:0] ;
genvar m, k;
generate
//3 stage
for(m=0; m<=2; m=m+1) begin: stage
for (k=0; k<=3; k=k+1) begin: unit
butterfly u_butter(
.clk (clk ) ,
.rstn (rstn ) ,
.en (en_connect[m*4 + k] ) ,
//是否再组内?组编号+组内编号:下组编号+新组内编号
.xp_real (xm_real[ m ] [k[m:0] < (1<<m) ?
(k[3:m] << (m+1)) + k[m:0] :
(k[3:m] << (m+1)) + (k[m:0]-(1<<m))] ),
.xp_imag (xm_imag[ m ] [k[m:0] < (1<<m) ?
(k[3:m] << (m+1)) + k[m:0] :
(k[3:m] << (m+1)) + (k[m:0]-(1<<m))] ),
.xq_real (xm_real[ m ] [(k[m:0] < (1<<m) ?
(k[3:m] << (m+1)) + k[m:0] :
(k[3:m] << (m+1)) + (k[m:0]-(1<<m))) + (1<<m) ]), //增加蝶形单元两个输入端口间距离
.xq_imag (xm_imag[ m ] [(k[m:0] < (1<<m) ?
(k[3:m] << (m+1)) + k[m:0] :
(k[3:m] << (m+1)) + (k[m:0]-(1<<m))) + (1<<m) ]),
.factor_real(factor_real[k[m:0]<(1<<m)?
k[m:0] : k[m:0]-(1<<m) ]),
.factor_imag(factor_imag[k[m:0]<(1<<m)?
k[m:0] : k[m:0]-(1<<m) ]),
//output data
.valid (en_connect[ (m+1)*4 + k ] ),
.yp_real (xm_real[ m+1 ][k[m:0] < (1<<m) ?
(k[3:m] << (m+1)) + k[m:0] :
(k[3:m] << (m+1)) + (k[m:0]-(1<<m))] ),
.yp_imag (xm_imag[ m+1 ][(k[m:0]) < (1<<m) ?
(k[3:m] << (m+1)) + k[m:0] :
(k[3:m] << (m+1)) + (k[m:0]-(1<<m))] ),
.yq_real (xm_real[ m+1 ][(k[m:0] < (1<<m) ?
(k[3:m] << (m+1)) + k[m:0] :
(k[3:m] << (m+1)) + (k[m:0]-(1<<m))) + (1<<m) ]),
.yq_imag (xm_imag[ m+1 ][((k[m:0]) < (1<<m) ?
(k[3:m] << (m+1)) + k[m:0] :
(k[3:m] << (m+1)) + (k[m:0]-(1<<m))) + (1<<m) ])
);
end
end
endgenerate
assign valid = en_connect[12];
assign y0_real = xm_real[3][0] ;
assign y0_imag = xm_imag[3][0] ;
assign y1_real = xm_real[3][1] ;
assign y1_imag = xm_imag[3][1] ;
assign y2_real = xm_real[3][2] ;
assign y2_imag = xm_imag[3][2] ;
assign y3_real = xm_real[3][3] ;
assign y3_imag = xm_imag[3][3] ;
assign y4_real = xm_real[3][4] ;
assign y4_imag = xm_imag[3][4] ;
assign y5_real = xm_real[3][5] ;
assign y5_imag = xm_imag[3][5] ;
assign y6_real = xm_real[3][6] ;
assign y6_imag = xm_imag[3][6] ;
assign y7_real = xm_real[3][7] ;
assign y7_imag = xm_imag[3][7] ;
endmodule
testbench
testbench 编写如下,主要用于 16 路实、复数据的连续输入。因为每次 FFT 只有 8 点数据,所以送入的数据比较随意,并不是正弦波等规则的数据。
实例
module test ;
reg clk;
reg rstn;
reg en ;
reg signed [23:0] x0_real;
reg signed [23:0] x0_imag;
reg signed [23:0] x1_real;
reg signed [23:0] x1_imag;
reg signed [23:0] x2_real;
reg signed [23:0] x2_imag;
reg signed [23:0] x3_real;
reg signed [23:0] x3_imag;
reg signed [23:0] x4_real;
reg signed [23:0] x4_imag;
reg signed [23:0] x5_real;
reg signed [23:0] x5_imag;
reg signed [23:0] x6_real;
reg signed [23:0] x6_imag;
reg signed [23:0] x7_real;
reg signed [23:0] x7_imag;
wire valid;
wire signed [23:0] y0_real;
wire signed [23:0] y0_imag;
wire signed [23:0] y1_real;
wire signed [23:0] y1_imag;
wire signed [23:0] y2_real;
wire signed [23:0] y2_imag;
wire signed [23:0] y3_real;
wire signed [23:0] y3_imag;
wire signed [23:0] y4_real;
wire signed [23:0] y4_imag;
wire signed [23:0] y5_real;
wire signed [23:0] y5_imag;
wire signed [23:0] y6_real;
wire signed [23:0] y6_imag;
wire signed [23:0] y7_real;
wire signed [23:0] y7_imag;
initial begin
clk = 0; //50MHz
rstn = 0 ;
#10 rstn = 1;
forever begin
#10 clk = ~clk; //50MHz
end
end
fft8 u_fft (
.clk (clk ),
.rstn (rstn ),
.en (en ),
.x0_real (x0_real),
.x0_imag (x0_imag),
.x1_real (x1_real),
.x1_imag (x1_imag),
.x2_real (x2_real),
.x2_imag (x2_imag),
.x3_real (x3_real),
.x3_imag (x3_imag),
.x4_real (x4_real),
.x4_imag (x4_imag),
.x5_real (x5_real),
.x5_imag (x5_imag),
.x6_real (x6_real),
.x6_imag (x6_imag),
.x7_real (x7_real),
.x7_imag (x7_imag),
.valid (valid),
.y0_real (y0_real),
.y0_imag (y0_imag),
.y1_real (y1_real),
.y1_imag (y1_imag),
.y2_real (y2_real),
.y2_imag (y2_imag),
.y3_real (y3_real),
.y3_imag (y3_imag),
.y4_real (y4_real),
.y4_imag (y4_imag),
.y5_real (y5_real),
.y5_imag (y5_imag),
.y6_real (y6_real),
.y6_imag (y6_imag),
.y7_real (y7_real),
.y7_imag (y7_imag));
//data input
initial begin
en = 0 ;
x0_real = 24'd10;
x1_real = 24'd20;
x2_real = 24'd30;
x3_real = 24'd40;
x4_real = 24'd10;
x5_real = 24'd20;
x6_real = 24'd30;
x7_real = 24'd40;
x0_imag = 24'd0;
x1_imag = 24'd0;
x2_imag = 24'd0;
x3_imag = 24'd0;
x4_imag = 24'd0;
x5_imag = 24'd0;
x6_imag = 24'd0;
x7_imag = 24'd0;
@(negedge clk) ;
en = 1 ;
forever begin
@(negedge clk) ;
x0_real = (x0_real > 22'h3F_ffff) ? 'b0 : x0_real + 1 ;
x1_real = (x1_real > 22'h3F_ffff) ? 'b0 : x1_real + 1 ;
x2_real = (x2_real > 22'h3F_ffff) ? 'b0 : x2_real + 31 ;
x3_real = (x3_real > 22'h3F_ffff) ? 'b0 : x3_real + 1 ;
x4_real = (x4_real > 22'h3F_ffff) ? 'b0 : x4_real + 23 ;
x5_real = (x5_real > 22'h3F_ffff) ? 'b0 : x5_real + 1 ;
x6_real = (x6_real > 22'h3F_ffff) ? 'b0 : x6_real + 6 ;
x7_real = (x7_real > 22'h3F_ffff) ? 'b0 : x7_real + 1 ;
x0_imag = (x0_imag > 22'h3F_ffff) ? 'b0 : x0_imag + 2 ;
x1_imag = (x1_imag > 22'h3F_ffff) ? 'b0 : x1_imag + 5 ;
x2_imag = (x2_imag > 22'h3F_ffff) ? 'b0 : x2_imag + 3 ;
x3_imag = (x3_imag > 22'h3F_ffff) ? 'b0 : x3_imag + 6 ;
x4_imag = (x4_imag > 22'h3F_ffff) ? 'b0 : x4_imag + 4 ;
x5_imag = (x5_imag > 22'h3F_ffff) ? 'b0 : x5_imag + 8 ;
x6_imag = (x6_imag > 22'h3F_ffff) ? 'b0 : x6_imag + 11 ;
x7_imag = (x7_imag > 22'h3F_ffff) ? 'b0 : x7_imag + 7 ;
end
end
//finish simulation
initial #1000 $finish ;
endmodule
仿真结果
大致可以看出,FFT 结果可以流水输出。

用 matlab 自带的 FFT 函数对相同数据进行运算,前 2 组数据 FFT 结果如下。
可以看出,第一次输入的数据信号只有实部有效时,FFT 结果是完全一样的。
但是第二次输入的数据复部也有信号,此时两者之间的结果开始有误差,有时误差还很大。

用 matlab 对 Verilog 实现的 FFT 过程进行模拟,发现此过程的 FFT 结果和 Verilog 实现的 FFT 结果基本一致。
将有误差的两种 FFT 结果取绝对值进行比较,图示如下。
可以看出,FFT 结果的趋势大致相同,但在个别点有肉眼可见的误差。

设计总结:
就如设计蝶形单元时所说,旋转因子量化时,位宽的选择就会引入误差。
而且每个蝶形单元的运算结果都会进行截取,也会引入误差。
matlab 计算 FFT 时不用考虑精度问题,以其最高精度对数据进行 FFT 计算。
以上所述,都会导致最后两种 FFT 计算方式结果的差异。
感兴趣的学者,可以将旋转因子和输入数据位宽再进行一定的增加,FFT 点数也可以增加,然后再进行仿真对比,相对误差应该会减小。
附录:matlab 使用
生成旋转因子
8 点 FFT 只需要用到 4 个旋转因子。旋转因子扩大倍数为 8192。
实例
%=======================================================
% Wnr calcuting
%=======================================================
for r = 0:3
Wnr_factor = cos(pi/4*r) - j*sin(pi/4*r) ;
Wnr_integer = floor(Wnr_factor * 2^13) ;
if (real(Wnr_integer)<0)
Wnr_real = real(Wnr_integer) + 2^16 ; %负数的补码
else
Wnr_real = real(Wnr_integer) ;
end
if (imag(Wnr_integer)<0)
Wnr_imag = imag(Wnr_integer) + 2^16 ;
else
Wnr_imag = imag(Wnr_integer);
end
Wnr(2*r+1,:) = dec2hex(Wnr_real) %实部
Wnr(2*r+2,:) = dec2hex(Wnr_imag) %虚部
end
FFT 结果对比
matlab 模拟 Verilog 实现 FFT 的过程如下,也包括 2 种 FFT 结果的对比。
实例
%=======================================================
% 8dots fft
%=======================================================
for r=0:3
Wnr(r+1) = cos(pi/4*r) - j*sin(pi/4*r) ;
end
x = [10, 20, 30, 40, 10, 20 ,30 ,40];
step = [1+2j, 1+5j, 31+3j, 1+6j, 23+4j, 1+8j, 6+11j, 1+7j];
x2 = x + step;
xm0 = [x2(0+1), x2(4+1), x2(2+1), x2(6+1), x2(1+1), x2(5+1), x2(3+1), x2(7+1)] ;
%% stage1
xm1(1) = xm0(1) + xm0(2)*Wnr(1) ;
xm1(2) = xm0(1) - xm0(2)*Wnr(1) ;
xm1(3) = xm0(3) + xm0(4)*Wnr(1) ;
xm1(4) = xm0(3) - xm0(4)*Wnr(1) ;
xm1(5) = xm0(5) + xm0(6)*Wnr(1) ;
xm1(6) = xm0(5) - xm0(6)*Wnr(1) ;
xm1(7) = xm0(7) + xm0(8)*Wnr(1) ;
xm1(8) = xm0(7) - xm0(8)*Wnr(1) ;
floor(xm1(:))
%% stage2
xm2(1) = xm1(1) + xm1(3)*Wnr(1) ;
xm2(3) = xm1(1) - xm1(3)*Wnr(1) ;
xm2(2) = xm1(2) + xm1(4)*Wnr(2) ;
xm2(4) = xm1(2) - xm1(4)*Wnr(2) ;
xm2(5) = xm1(5) + xm1(7)*Wnr(1) ;
xm2(7) = xm1(5) - xm1(7)*Wnr(1) ;
xm2(6) = xm1(6) + xm1(8)*Wnr(2) ;
xm2(8) = xm1(6) - xm1(8)*Wnr(2) ;
floor(xm2(:))
%% stage3
xm3(1) = xm2(1) + xm2(5)*Wnr(1) ;
xm3(5) = xm2(1) - xm2(5)*Wnr(1) ;
xm3(2) = xm2(2) + xm2(6)*Wnr(2) ;
xm3(6) = xm2(2) - xm2(6)*Wnr(2) ;
xm3(3) = xm2(3) + xm2(7)*Wnr(3) ;
xm3(7) = xm2(3) - xm2(7)*Wnr(3) ;
xm3(4) = xm2(4) + xm2(8)*Wnr(4) ;
xm3(8) = xm2(4) - xm2(8)*Wnr(4) ;
floor(xm3(:))
%% fft
fft1 = fft(x)
fft2 = fft(x2)
plot(1:8, abs(fft2))
hold on
plot(1:8, abs(xm3), 'r')
潘晓明
pan***hust.edu.cn
8 点 FFT 蝶形框架第二级(m=1)时,旋转因子原理上是 W8^0 和 W8^2(W8^2 可约为 W4^1,但不能等于W8^1),然而例程代码设计导致旋转因子取值是 W(0) 和 W(1),这个 W(1) 是对应 W8^1 的!而且最后 matlab 验证代码也用成了 W(1+1),所以导致运算结果与标准 fft 函数运算结果有明显偏差。
matlab 中修正,将(m=1时)stage2 的旋转因子 W(2) 改为 W(3),那么两种计算结果就一致了。
以此可见相应的 HDL 代码:
也需要修改,信号下标应为:
潘晓明
pan***hust.edu.cn